

Vedic Math Analysis
Core Principle / Theory
इस प्रश्न के लिए ‘परावर्त्य योजयेत्’ (Paravartya Yojayet) सूत्र का उपयोग किया गया है, जिसका अर्थ है ‘पक्षांतरण करें और लागू करें’ (Transpose and Apply)। बीजगणित में, यह विधि तब अत्यंत उपयोगी होती है जब भाजक (Divisor) एक बहुपद हो। इसका मूल सिद्धांत यह है कि हम भाजक के गुणांकों के चिह्न बदल देते हैं (जैसे + को – और – को +), जिससे विभाजन की कठिन प्रक्रिया, गुणा और जोड़ की सरल प्रक्रिया में बदल जाती है। यह विधि लंबी विभाजन विधि (Long Division) की तुलना में बहुत तेज़ और त्रुटि-मुक्त है।
परावर्त्य योजयेत् विधि द्वारा हल
Steps:
- चरण 1: भाजक (Divisor) x² + 4x – 2 है। x² को छोड़कर शेष पदों के चिह्न बदलें (परावर्त्य)। अतः, +4 बन जाता है -4 और -2 बन जाता है +2। हमारे ‘जादुई गुणक’ -4 और 2 हैं।
- चरण 2: भाज्य (Dividend) के गुणांकों को लिखें: 2, -5, 2, 5, -10। चूँकि भाजक की घात 2 है, इसलिए दाईं ओर से दो अंकों के बाद एक खड़ी रेखा खींचकर शेषफल (Remainder) वाले हिस्से को अलग करें।
- चरण 3: पहले गुणांक ‘2’ को वैसे का वैसा नीचे उतारें। यह भागफल का पहला पद है।
- चरण 4: इस ‘2’ को जादुई गुणकों (-4, 2) से गुणा करें। 2×(-4) = -8 और 2×2 = 4। इन्हें अगले दो गुणांकों के नीचे लिखें।
- चरण 5: दूसरे कॉलम को जोड़ें: -5 + (-8) = -13। यह भागफल का दूसरा पद है।
- चरण 6: अब ‘-13’ को जादुई गुणकों (-4, 2) से गुणा करें। -13×(-4) = 52 और -13×2 = -26। इन्हें अगले पदों के नीचे लिखें।
- चरण 7: तीसरे कॉलम को जोड़ें: 2 + 4 + 52 = 58। यह भागफल का तीसरा पद है।
- चरण 8: अब ’58’ को जादुई गुणकों (-4, 2) से गुणा करें। 58×(-4) = -232 और 58×2 = 116।
- चरण 9: शेषफल वाले कॉलम को जोड़ें। x का गुणांक: 5 – 26 – 232 = -253। अचर पद: -10 + 116 = 106।
- निष्कर्ष: भागफल (Quotient) = 2x² – 13x + 58 और शेषफल (Remainder) = -253x + 106।
Visual Representation:
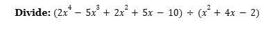
text
Divisor: x^2 + 4x - 2
Modified Multipliers: -4, +2
Coef | x^3 x^2 | x^1 x^0
2 | -5 2 | 5 -10
-----------|------------|-------------
-4 | -8 4 |
+2 | 52 | -26
| | -232 116
-----------|------------|-------------
2 | -13 58 | -253 106
Quotient = 2x^2 - 13x + 58
Remainder = -253x + 106पारंपरिक लंबी विभाजन विधि (Long Division)
Steps:
- चरण 1: 2x⁴ को x² से विभाजित करें, परिणाम 2x² है। अब 2x² से पूरे भाजक (x² + 4x – 2) को गुणा करें और भाज्य से घटाएं।
- चरण 2: घटाने पर नया भाज्य -13x³ + 6x² + 5x – 10 प्राप्त होगा।
- चरण 3: अब -13x³ को x² से विभाजित करें, परिणाम -13x है। -13x से भाजक को गुणा करें और घटाएं।
- चरण 4: घटाने पर शेष 58x² – 21x – 10 प्राप्त होगा।
- चरण 5: अंत में, 58x² को x² से विभाजित करें, परिणाम 58 है। 58 से भाजक को गुणा करें और घटाएं।
- चरण 6: अंतिम शेषफल -253x + 106 बचता है। यह प्रक्रिया लंबी और समय लेने वाली है।
आधुनिक अनुप्रयोग (Modern Applications)
- कंप्यूटर विज्ञान: साइक्लिक रिडंडेंसी चेक (CRC) एल्गोरिदम में बहुपद विभाजन का भारी उपयोग होता है, जहाँ यह विधि गणना को तेज़ कर सकती है।
- सिग्नल प्रोसेसिंग: डिजिटल फिल्टर डिजाइन (IIR/FIR filters) में ट्रांसफर फंक्शन की गणना के लिए।
- क्रिप्टोग्राफी: एलीप्टिक कर्व क्रिप्टोग्राफी और अन्य एन्क्रिप्शन विधियों में बहुपद अंकगणित (Polynomial Arithmetic) के लिए।
- नियंत्रण प्रणाली (Control Systems): लाप्लास ट्रांसफॉर्म और सिस्टम स्थिरता विश्लेषण में।
- 11 – भाद्रपद मासकी ‘अजा’ और ‘पद्मा’ एकादशीका माहात्य लोमशजी बोले- प्रजाजनो ! श्रावण मासके शुक्लपक्षमें जो एकादशी होती है, वह ‘पुत्रदा’ के नामसे विख्यात है। वह मनोवाञ्छित फल प्रदान करनेवाली है। तुमलोग उसीका व्रत करो। यह सुनकर प्रजाओंने मुनिको नमस्कार किया और नगरमें आकर विधिपूर्वक पुत्रदा एकादशीके व्रतका अनुष्ठान किया। उन्होंने विधिपूर्वक जागरण भी किया और उसका निर्मल पुण्य राजाको दे दिया । … Read more
- 14 – पुरुषोत्तम मासकी ‘कमला’ और ‘कामदा’एकादशीका माहात्म्य युधिष्ठिरने पूछा – भगवन् ! अब मैं श्रीविष्णुके व्रतोंमें उत्तम व्रतका, जो सब पापोंको हर लेनेवाला तथा व्रती मनुष्योंको मनोवाञ्छित फल देनेवाला हो, श्रवण करना चाहता हूँ। जनार्दन ! पुरुषोत्तम मासकी एकादशीकी कथा कहिये, उसका क्या फल है ? और उसमें किस देवताका पूजन किया जाता है ? प्रभो ! किस दानका क्या … Read more
- 13 – कार्तिक मासकी ‘रमा’ और ‘प्रबोधिनी’एकादशीका माहात्म्ययुधिष्ठिरने पूछा- जनार्दन ! मुझपर आपका स्नेह है; अतः कृपा करके बताइये। कार्तिकके कृष्णपक्षमें कौन-सी एकादशी होती है ? भगवान् श्रीकृष्ण बोले- राजन् ! कार्तिकके कृष्णपक्षमें जो परम कल्याणमयी एकादशी होती है, वह ‘रमा’ के नामसे विख्यात है। ‘रमा’ परम उत्तम है और बड़े-बड़े पापोंको हरनेवाली है। पूर्वकालमें मुचुकुन्द नामसे विख्यात एक राजा हो चुके … Read more
- 12 – आश्विन मासकी ‘इन्दिरा’ और ‘पापाङ्कुशा’ एकादशीका माहात्य युधिष्ठिरने पूछा- मधुसूदन ! अब कृपा करके यह बताइये कि आश्विनके शुक्लपक्षमें किस नामकी एकादशी होती है ? भगवान् श्रीकृष्ण बोले- राजन् ! आश्विनके शुक्लपक्षमें जो एकादशी होती है, वह ‘पापाङ्कुशा’ के नामसे विख्यात है। वह सब पापोंको हरनेवाली: तथा उत्तम है। उस दिन सम्पूर्ण मनोरथकी प्राप्तिके लिये मनुष्योंको स्वर्ग और मोक्ष प्रदान करनेवाले पद्मनाभसंज्ञक … Read more
- 10 – श्रावण मासकी ‘कामिका’ और ‘पुत्रदा’ एकादशीका माहात्म्य युधिष्ठिरने पूछा- गोविन्द ! वासुदेव ! आपको नमस्कार है ! श्रावणके कृष्णपक्षमें कौन-सी एकादशी होती है ? उसका वर्णन कीजिये । भगवान् श्रीकृष्ण बोले- राजन् ! सुनो, मैं तुम्हें एक पापनाशक उपाख्यान सुनाता हूँ, जिसे पूर्वकालमें ब्रह्माजीने नारदजीके पूछनेपर कहा था। नारदजीने प्रश्न किया – भगवन् ! कमलासन ! मैं आपसे यह सुनना चाहता हूँ … Read more